BIOLOGÍA - GEOLOGÍA . COM

1st ESO

3rd ESO

4th ESO

Biology 2nd Baccalaureate

Index by courses

Forums

 

Skip navigation

3.5.7. Genealogical trees

Genetics problems with family trees solved. (Page 27)

Another type of genetic problem is those of genealogical trees (or pedigrees). They are exactly the same as the ones you have done so far, in which some character is transmitted by genetic inheritance to the descendants. The only difference is that the transmission of this character is represented by a genealogical tree, in which males are represented by a square and females by a circle. Individuals who have this character are colored in black and those who do not have it, in white. If the individual is only a carrier, without manifesting that character, it may appear in gray or colored black as a half square or circle.

When you practice with any of these problems you will see that they are as easy and fun to solve as the previous ones.

Símbolos de los árboles genealógicos

Jcmorin en Wikipedia en inglés [Dominio público Dominio], via Wikimedia Commons

Before you start doing the problems, you have to keep a few things in mind:

  • Individuals of the same generation are represented in the same row, usually numbered with Roman numerals.
  • Males are represented by squares and females by circles. If they have a certain character, they appear colored.
  • The biggest difficulty you may have is knowing if it is a sex-linked character or disease or not.
    • If it is a case of inheritance linked to the Y chromosome, all male descendants of that male who has that character will have it. If there is any woman who is affected by this characteristic, we must rule out that it is linked to the Y chromosome, since they do not have a Y chromosome. Similarly, a son cannot have this characteristic linked to the Y chromosome if his father does not present it.
    • If it is a case of recessive inheritance linked to the X chromosome:
      • If a father does not present a character but his daughter does, we can rule out that it is a case of recessive inheritance linked to the X chromosome, since it is not possible for a father XA Y to have a daughter XaXa.
      • If a mother presents a character but her son does not present it, we will rule out that it is a recessive character linked to sex, since a mother XaXa cannot have a child XAY.
      • If a father has an X-linked dominant character (XAY), all of his daughters (XAX) must have it. If not all of your daughters have it, it will not be X-linked.


In addition to the problems on this page, you have more family tree problems at:

Genetics problem 197

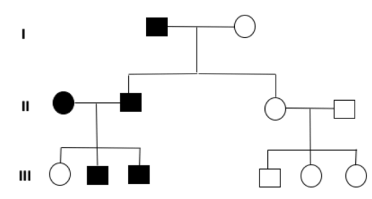
After studying the transmission of a certain pathological phenotype represented, the result represented in Figure 2 is  obtained. Indicate what type of transmission this character follows.

Also indicate the genotypes of the individuals indicated by the letters (affected individuals in the dark ). Reason for the result.

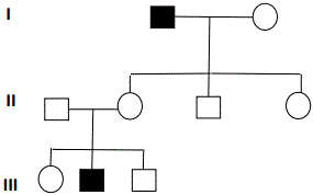
Genetics problem 198

The attached scheme shows the transmission of a character in a family, represented by the dark symbols, produced  by a single autosomal gene with two alleles. The squares represent men and the circles women.

a) Indicate if the character presents dominant or  recessive inheritance. Give reasons for the answer.

b) Indicate the genotypes of individuals from generation I and  individuals II.4 and II.5, using “A” for the dominant allele  and “a” for the recessive allele.

Genetics problem 199

The following genealogy corresponds to guinea pigs. Black corresponds to curly hair and white to straight hair. The square means male and the circle means female.

Árbol genealógicoDetermine which character is dominant and which is recessive. Determine if it is a sex-linked character.

Kinky x Kinky

Kinky Curly Straight



Genetics problem 200

Given the following genealogy of a rare disease that affects the human species,  indicate and explain:

Women are represented by a circle and men by a square. Individuals in black  indicate manifestation of the disease.

a) Type of inheritance.

b) Genotypes of each of the individuals of the offspring.

Genetics problem 201

Regarding Mendel's contributions to the study of heredity: The attached diagram shows the transmission of a character (represented by the dark symbols) in a family, produced by a single autosomal gene with two alleles (the squares represent males and the circles women).

a) Indicate if the character presents dominant or recessive inheritance. Give reasons for the answer.

b) Indicate the genotypes of the individuals of generation I and their descendants (II.2 to II.5), using “A” for the dominant allele and “a” for the recessive allele.

Genetics problem 202

This pedigree chart represents  the inheritance of the  attached earlobe character (gray fill). Analyze it and deduce the type of  inheritance. Reason for the answer.

Genetics problem 203

Huntington's disease is a degenerative disease of the nervous system. Its main characteristic is the appearance of motor disorders. In addition, it is accompanied by an intellectual deterioration that, in many cases, leads to emotional and behavioral alterations. A genealogy of Huntington's disease or chorea is shown in the figure below. Women are represented by a circle and men by a square. Individuals in black indicate manifestation of the disease.

a. Indicate if it is a dominant or recessive disease.
b. Find out the genotype of each individual in the pedigree.

Genetics problem 204

The figure indicates the transmission of a certain anomaly (individuals in black) in a family (men are represented by a square and women by a circle). The abnormality is known to be caused by a single sex-linked gene (located on the X chromosome).

a) Indicate if this anomaly is dominant or recessive. Give reasons for the answer.

b) List the possible genotypes of all individuals. Use the letter A (uppercase) for the dominant allele and the letter a (lowercase) for the recessive.

c) Taking into account, exclusively, the data of this genealogy, could the possibility that the character was autosomal be totally excluded? Give reasons for the answer. 

Genetics problem 205

The following family tree shows the inheritance of a disease caused by a single gene mutation. A couple, their progeny, and the mating of one of the daughters are shown. The black symbols represent individuals with the disease. The dotted individuals are the possible grandchildren in this family.

From among the possibilities that would explain the inheritance pattern observed in the tree, propose a hypothesis that includes:

a) The type of inheritance (autosomal or linked to sex) and whether the character is dominant or recessive. 

b) What would be the genotype of the parents and of each of the children. You can use the notation Aa, AA, aa, XAXa, XAXA, XaXa, XAY, XaY, XYA, or XYa as needed. 

c) Indicate the possible genotypes and phenotypes of the daughter, her partner and the four possible grandchildren. Calculate, following your hypothesis, what is the probability that each of the grandchildren suffers from the disease.

Genetics problem 206

The figure indicates the transmission of one type of cataract (individuals in black) in a family (men are represented by a square and women by a circle). This disease is known to be caused by a single sex-linked gene (located on the X chromosome).

a) Indicate if this type of cataract is dominant or recessive. Give reasons for the answer. 

b) List the possible genotypes of all individuals. Use the letter A (uppercase) for the dominant allele and the letter a (lowercase) for the recessive.

c) Indicate the probability that the woman indicated with an arrow has a descendant with this type of cataract: (1) if it is a child; (2) if it is a girl.


         

Legal warning

Blog

Download

Contact

 

 

Follow us if it has been useful to you biologia-geologia.com.
 

Biology and Geology teaching materials for Compulsory Secondary Education (ESO) and Baccalaureate students.