3.5.6.1.2. More AB0 blood group problems solved 3
Genetics problem 189
What type of offspring is expected from a couple consisting of a male with blood group 0 and a female with blood group AB?
Genetics problem 190
Two couples, one of blood group AB and 0, and the other A and AB, claim to be the parents of a child of blood group AB. Who are the parents? Give reasons for the answer.
Genetics problem 191
Each of the following couples (1, 2 and 3) has only one daughter. From the blood groups of all of them ( the data are shown in the tables ), indicate which baby corresponds to each pair (if possible). Reason the answers indicating the possible genotypes of all the subjects and those of the possible offspring of each pair. Use the proper nomenclature when writing genotypes.
| Couple nº | Parental groups |
| 1 | B x B |
| 2 | AB x 0 |
| 3 | B x AB |
| Newly born | |
| Name | Group of each baby |
| Mary | A |
| Pillar | AB |
| Martha | 0 |
Genetics problem 192
A woman of blood group A and a man of blood group B have a child of blood group 0. What are the genotypes of the three individuals? What is the probability that the next child is from group 0? What is the probability that two children of the couple are male and of blood group AB?
Genetics problem 193
On the inheritance of blood groups. It indicates all the possible genotypes of the parents of an individual with blood group AB.
Genetics problem 194
A couple of blood group AB and 0, claims before the court that the baby they were given in the maternity of blood group A, does not belong to them and instead claims as theirs a baby of blood group 0, who has another partner of blood group A and 0. This couple denies this fact.
Reasoningly answer which family is right.
Genetics problem 195
Antonio, Andrés and Juan claim in court the paternity of a child, whose blood group is AB. The mother is from group B, while Antonio is from A, Andrés from B and Juan from 0. Propose in a reasoned way (making the possible crosses) the genotypes for the child, the mother and each of the men and explain if this it would help determine who the father is. Use the designation "IA, IB, i" to designate the alleles.
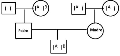
Genetics problem 196
Blood groups in the human species are determined by three allele genes: IA, which determines group A, IB, which determines group B and i, which determines group 0. Genes IA and IB are codominant and both are dominant with respect to the gen i which is recessive.
a) Can a child with blood group AB be the child of a woman AB and a man 0? Why? Indicate the possible genotypes of the couple's offspring.
b) Indicate the phenotype of the father and mother of the tree in the figure, as well as the blood group of all members of that tree.
c) Describe an example of inheritance linked to sex.

Licensed under the Creative Commons Attribution Share Alike License 4.0