3.5.7.2. Family Trees 3
Genetics problem 217
The figure indicates the transmission of a character in a family (men are represented by a square and women by a circle). The trait has the two alternatives indicated in black and white and is determined by a single gene.

1. Indicate whether the allele that determines the alternative represented in black is dominant or recessive. Give reasons for the answer.
2. Indicate if the gene that determines this trait is autosomal or is linked to sex. Give reasons for the answer.
Genetics problem 218
After studying the transmission of a certain pathological phenotype, the result represented in figure 1 is obtained. Indicate what type of transmission this character follows. Indicate the genotypes of the individuals indicated by the letters (affected individuals in dark). Give reasons for the answer.

Genetics problem 219
The following figure indicates the transmission of a character in a family (men are represented by a square and women by a circle). The character presents the two alternatives that are represented by the colors white or black. Determine if the allele that determines the color black is dominant or recessive, and state why.

Genetics problem 220
The figure indicates, in a family, the transmission of a character with two alternatives represented in black and white, and which is determined by a single gene. Men are represented by a square and women by a circle. Indicate if the allele that determines the alternative represented in black is dominant or recessive. Reason for the answer.

Genetics problem 221
After studying the transmission of a certain pathological phenotype represented in Figure 3, the following result is obtained. Reason what type of transmission this character follows. Also indicate the genotypes of the individuals indicated by the letters (affected individuals in black).

Genetics problem 222
After studying the transmission of a certain pathological phenotype represented in Figure 3, the following result is obtained. Indicate what type of transmission this character follows. Indicate the genotypes of the individuals indicated by the letters (affected individuals in dark).
Note: C is homozygous for the character
Genetics problem 223
The figure indicates the transmission of a character in a family (men are represented by a square and women by a circle).
The character has the two alternatives indicated in black and white and is determined by a single gene:
a) Indicate whether the allele that determines the alternative represented in black is dominant or recessive. Reason for the answer using the possible genotypes of all the individuals.
b) Given this detected dominance relationship, could it be a sex-linked gene? Give reasons for the answer.

Genetics problem 224
Indicate the types of transmission (dominant, recessive, linked to sex) compatible with the study of transmission of a certain character (figure 4), indicating in all cases the genotype of each of the individuals represented. Give reasons for the answer. (Affected individuals are represented in black, healthy in white)

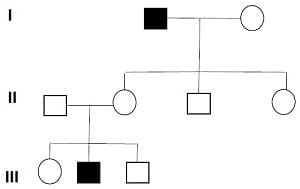
Genetics problem 225
The genealogy represented in the attached drawing shows the transmission of a character (present in individuals with black color) due to the action of a single autosomal gene with two alleles (A: dominant allele; A: recessive allele). The squares represent men and the circles women.

a) Indicate what type of inheritance (dominant or recessive) the character presents. Give reasons for the answer.
b) Indicate the genotypes of the parental individuals (generation I).
c) Indicate the genotypes of the individuals: II.1, II.2, II.3; II.4, III.1 and III.2.
Genetics problem 226
Given the genealogy of a rare disease that affects the human species represented in the attached figure, indicate and explain (women are represented with a circle and men with a square; individuals in black indicate manifestation of the disease):

a) Type of inheritance.
b) Genotypes of each of the individuals of the offspring.
Genetics problem 227
Regarding Mendel's contributions to the study of heredity:
The accompanying genealogy shows the transmission of a monogenic and autosomal disease in a family. Affected individuals are shown in black and healthy individuals in white (men are represented by a square and women by a circle).

a) Indicate whether the allele that determines the presence of the disease is dominant or recessive. Give reasons for the answer.
b) Indicate the genotypes of individuals I.1, I.2, II.7 and III.11, using “A” for the dominant allele and “a” for the recessive one.
c) Define what a test cross is and what it is used for.
Licensed under the Creative Commons Attribution Share Alike License 4.0